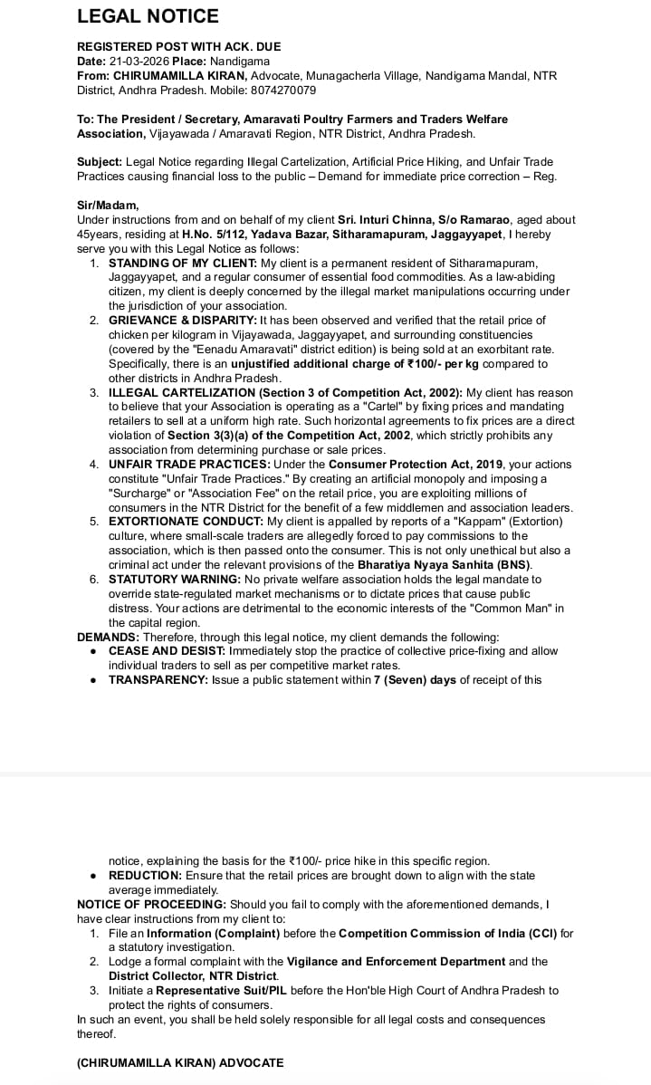
విజయవాడలో చికెన్ ధరలు దారుణం..

విజయవాడలో చికెన్ ధరలు దారుణం..
- కేజీకి రూ.100 అదనంగా వసూలు..
- పౌల్ట్రీ అసోసియేషన్కు లీగల్ నోటీసు..
- 7 రోజుల్లో వివరణ ఇవ్వాలి..
- నోటీసులు పంపించిన ఇంటూరు చిన్న..
ఎన్టీఆర్ బ్యూరో, ఆంధ్రప్రభ : విజయవాడ పరిసర ప్రాంతాల్లో చికెన్ ధరలు కృత్రిమంగా పెంచుతున్నారన్న ఆరోపణలు తీవ్ర చర్చకు దారితీశాయి. జగ్గయ్యపేట ప్రాంతానికి చెందిన ఇంటూరి రాజగోపాల్ (చిన్న) తరఫున పౌల్ట్రీ ఫార్మర్స్ అండ్ ట్రేడర్స్ వెల్ఫేర్ అసోసియేషన్కు లీగల్ నోటీసు జారీ కావడం స్థానికంగా ప్రాధాన్యత సంతరించుకుంది. గత కొన్ని వారాలుగా విజయవాడలో చికెన్ ధరలు రాష్ట్రంలోని ఇతర జిల్లాలతో పోలిస్తే.. గణనీయంగా అధికంగా ఉన్నట్లు నోటీసులో పేర్కొన్నారు. కేజీకి సుమారు రూ.100 వరకు అదనంగా వసూలు చేస్తున్నారని, ఉత్పత్తి, రవాణా ఖర్చులు సమానంగా ఉన్నప్పటికీ ఈ ప్రాంతంలో మాత్రమే ధరలు పెరగడం అనుమానాలకు తావిస్తోంది. నోటీసులో పేర్కొన్న ప్రకారం, పౌల్ట్రీ అసోసియేషన్ ఒక కార్టెల్గా వ్యవహరిస్తోందని, స్థానిక మాంసం వ్యాపారులను ఒకే ధరకు విక్రయించాలంటూ ఒత్తిడి తీసుకొస్తోందని ఆరోపించారు.
ఇది పోటీ చట్టం, 2002లోని నిబంధనలకు విరుద్ధమని పేర్కొన్నారు. మార్కెట్లో స్వేచ్ఛ పోటీని అడ్డుకోవడం ద్వారా వినియోగదారుల పై అదనపు భారం మోపుతున్నట్లు ఆరోపణలు ఉన్నాయి. అదే విధంగా వినియోగదారుల రక్షణ చట్టం, 2019 ప్రకారం ఈ విధానం అక్రమ వ్యాపార పద్ధతి కిందకు వస్తుందని నోటీసులో స్పష్టం చేశారు. సంక్షేమ సంస్థగా ఉండాల్సిన అసోసియేషన్ ధరల నియంత్రణలో కీలక పాత్ర పోషిస్తూ ప్రజల పై ఆర్థిక ఒత్తిడి పెంచుతోందని అభ్యంతరం వ్యక్తం చేశారు. ఇక చిన్న వ్యాపారుల నుంచి కమీషన్ లేదా సెస్ పేరుతో అదనపు వసూళ్లు జరుగుతున్నాయన్న ఆరోపణలు కూడా నోటీసులో ప్రస్తావించారు. ఈ అంశం పై పూర్తి స్థాయి విచారణ అవసరమని డిమాండ్ చేశారు.
ఈ నేపథ్యంలో అసోసియేషన్కు నాలుగు ప్రధాన డిమాండ్లు ఉంచారు. ధరల నిర్ణయం పై జారీ చేసిన ఆదేశాలను వెంటనే ఉపసంహరించుకోవాలని, మార్కెట్ డిమాండ్-సప్లై ఆధారంగా ధరలు నిర్ణయించాలని, రాష్ట్ర సగటు ధరలకు అనుగుణంగా ధరలను తగ్గించాలని, ధరల వ్యత్యాసం పై 7 రోజుల్లోగా బహిరంగ వివరణ ఇవ్వాలని కోరారు. ఈ డిమాండ్లను పాటించకపోతే కమిషన్కు ఫిర్యాదు చేయడం, వినియోగదారుల కోర్టులో దావా వేయడం, అలాగే విజిలెన్స్, ఎన్ఫోర్స్మెంట్ విభాగానికి ఫిర్యాదు చేయడం వంటి చట్టపరమైన చర్యలు తీసుకుంటామని హెచ్చరించారు. ఈ పరిణామాలతో విజయవాడలో చికెన్ ధరల వ్యవహారం రాజకీయ, ఆర్థిక వర్గాల్లో చర్చనీయాంశంగా మారింది. అధికారులు, వినియోగదారులు, వ్యాపార వర్గాల దృష్టి ఇప్పుడు అసోసియేషన్ స్పందన పై నిలిచింది.
